[搜索]
[菜单]
首页
角色广场
分类
智笔写作
收藏
写作
我的
书架
登录
智笔写作
写作福利
写作后台
首页
分类
角色广场
手机版
话本小说网
>
明星同人小说
>
CL的书评铺子(有偿)
本书标签:
明星同人
书评铺
长评小铺
写书评
原创
出单《朱志鑫:夫人,你节操又碎了》
CL的书评铺子(有偿)
月下仙人本仙
2022-05-01
CL的书评铺子(有偿)
CL
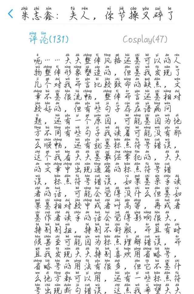
下单200字,出单371字
CL
因为是吐槽,可能会收不住车,所以就评的多了点
CL
祝书火!感谢!
上一章 出单《鑫有黎鑫,前程似锦》
CL的书评铺子(有偿)最新章节
下一章 出单《耀施:奈何她舌灿莲花》
作者福利
|
签约标准